Theo báo Người Đưa Tin ngày 29/04/2026, trong tuần từ ngày 20/4 đến 26/4, lực lượng chức năng tỉnh Quảng Ninh đã ghi nhận 883 trường hợp vi phạm tốc độ thông qua hệ thống giám sát kỹ thuật. Theo Công an tỉnh, các chủ phương tiện đã nhanh chóng thực hiện nghĩa vụ nộp phạt theo quy định tại Nghị định 168.
Cụ thể, Phòng Cảnh sát giao thông Công an tỉnh Quảng Ninh cho biết, các trường hợp vi phạm được phát hiện bằng thiết bị nghiệp vụ hiện đại, chủ yếu liên quan đến hành vi điều khiển phương tiện vượt quá tốc độ cho phép. Việc xử lý được triển khai theo hình thức “phạt nguội”, đảm bảo tính minh bạch và khách quan trong công tác kiểm soát giao thông.
Cơ quan chức năng khuyến nghị người dân chủ động tra cứu thông tin vi phạm và sớm chấp hành quyết định xử lý nhằm tránh phát sinh các vấn đề liên quan đến đăng kiểm hoặc xử lý hành chính sau này. Đồng thời, người điều khiển phương tiện cần tuân thủ nghiêm quy định về tốc độ, chú ý hệ thống biển báo và điều kiện giao thông thực tế để bảo đảm an toàn khi tham gia giao thông.
Về cách tra cứu vi phạm, người dân có thể truy cập Cổng thông tin điện tử của Cục Cảnh sát giao thông hoặc sử dụng ứng dụng VNeTraffic để kiểm tra thông tin phương tiện. Hệ thống cho phép tra cứu nhanh chóng, hỗ trợ người dùng nắm rõ tình trạng vi phạm của mình.
Đối với hình thức nộp phạt trực tuyến, người dân có thể thực hiện thông qua Cổng Dịch vụ công của Bộ Công an. Quy trình gồm các bước cơ bản: truy cập hệ thống, lựa chọn mục “Nộp phạt xử lý hành chính trong lĩnh vực giao thông”, tiếp tục chọn phần “đường bộ” và tiến hành nộp hồ sơ theo hướng dẫn.
Việc đẩy mạnh ứng dụng công nghệ trong xử lý vi phạm không chỉ giúp rút ngắn thời gian giải quyết thủ tục mà còn nâng cao ý thức chấp hành pháp luật của người tham gia giao thông, góp phần đảm bảo trật tự, an toàn trên địa bàn.
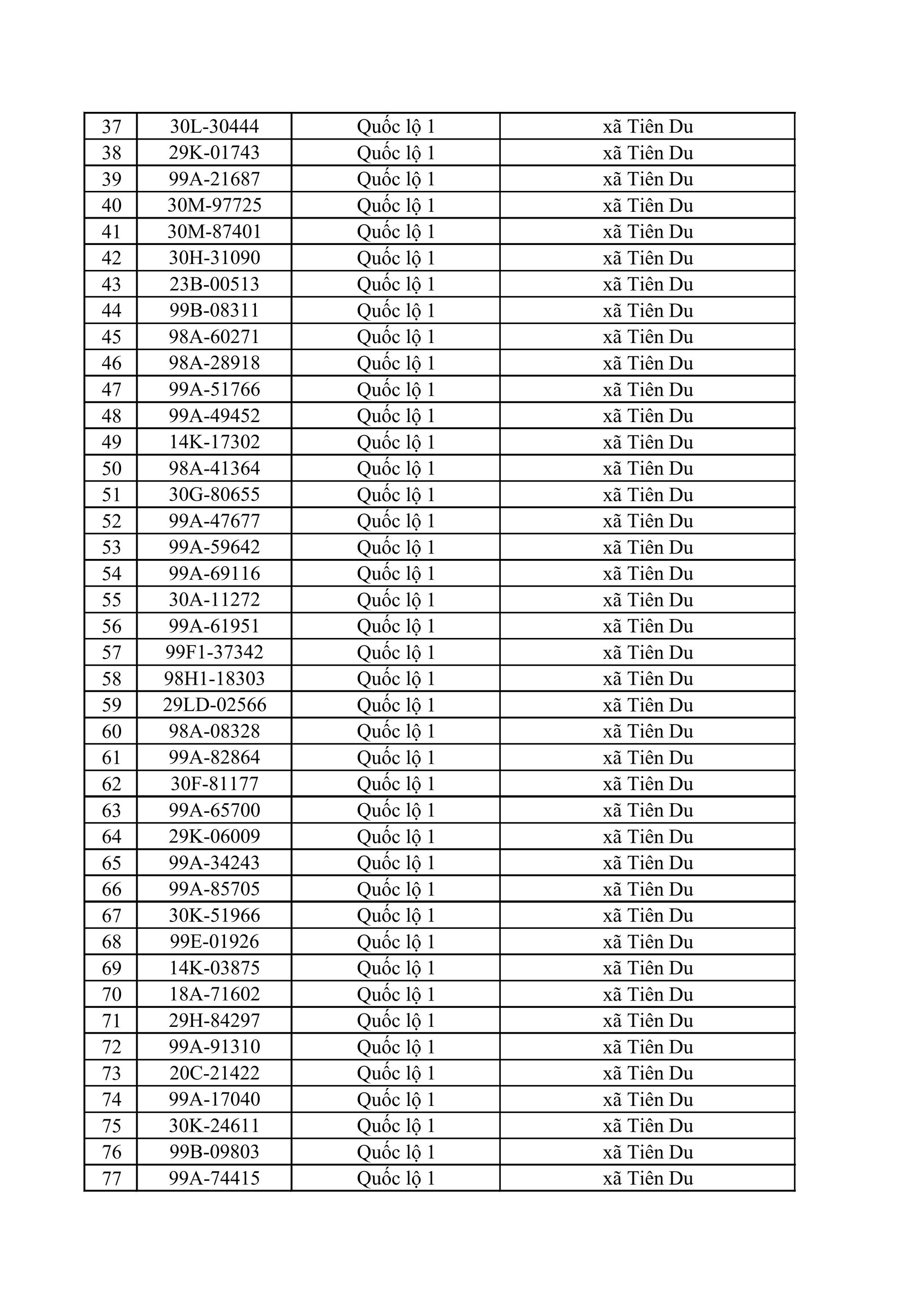
Danh sách các phương tiện phạt nguội bao gồm:






















